随着城市规模的扩大, 人口的增长与经济的发展, 人类活动造成地下水污染日益严重。然而, 地下水水质自身的复杂性与隐蔽性, 使早期地下水水质污染不容易被发现。一般地下水污染被发现后, 也由于污染过于严重而难于治理, 只能圈定污染范围, 使本来稀缺的地下水资源进一步减少, 故对地下水做好早期的污染检测就异常的重要其中, 判定地下水水质是否受污染的重要指标之一是化学需氧量 (chemical oxygen demand, COD) , 其反应水中受还原性物质污染的程度, 这些物质包括有机物, 亚硝酸盐, 硫化物等, 其中有机物是主要污染源, 故COD可作为有机物含量的综合指表。

在国外, 比如美国、日本这样的科技大国, 已不约而同的研制出地下水质自动在线检测设备 (如美国HACH厂商, 日本Horiba厂商) , 但这些仪器价格昂贵、维护费用高, 不适合放在野外在线检测地下水水质使用而在国内, 对于地下水水质的检测仍然致力于人工现场采水样, 然后保存直到最后的送检分析出报告, 这种低效率检测方式不仅检测过程繁杂, 而且不能快速获得地下水水质状况, 严重的阻碍了我国地下水水质检测的展。
结合国内外地下水水质在线检测仪器的优缺点, 提出了一种基于紫外-分光光度法自动抽取水样及清洗的远程在线地下水COD水质检测仪器。该仪器利用有机物在特定紫外光波长处有很强吸收的特性, 建立有机物在紫外光光谱区的吸光度与COD浓度之间的关系, 直接测定地下水中COD, 摆脱了传统地下水COD检测使用化学试剂的弊端, 并设计了自动抽取水样与清洗系统, 解决了国内多数地下水水质检测仪器需人工取样清洗的问题, 且实现远程在线操控, 简化了地下水水质检测的步骤, 提高了水质检测的速度
整个系统通过GSM通信建立远程连接, 进而控制地下水COD在线检测仪, 如图1 (a) 所示, 终端控制器发出相应指令, 经通信基站A, 发送至短信中心, 短信中心再将信息经通信基站B, 发送至地下水COD在线检测仪。相似的, 地下水COD在线检测仪以相同的方式将检测后的数据发回至远程终端。如图1 (b) 所示, 地下水COD在线检测仪主要由水样抽取清洗模块、水质COD检测模块、远程数据接收发送模块以及远程终端组成。通过远程终端发送检测指令, 经远程数据接收发送模块控制水样抽取清洗模块抽取待测地下水, 当水样抽取完成, 水质COD检测模块便开始对水样进行检测。检测完成后的数据再经处理后通过远程数据接收发送模块发回到远程终端, 完成检测数据传输。当数据传输完毕后, 水样抽取清洗模块开始管道清洗工作, 同样, 通过远程数据接收发送模块发送清洗完成工作。
图1 系统远程控制示意图 (a) 与地下水COD在线检测仪工作框图 (b)
本模块主要基于SIM900A芯片设计, 该芯片是SIMCom公司推出的新款紧凑型产品, 它属于双频GSM/GPRS模块, 相比其它产品, 性能稳定, 外观精巧, 性价比高。SIM900A采用工业标准接口, 工作频率为GSM/GPRS 900/1800 MHz, 可以低功耗实现语音、SMS、数据和传真信息的传输。本系统采用SIM900A模块短信收发功能, 实现低功耗远程控制功能。
水样抽取清洗模块主要由STM32最小系统板, 透明塑料水箱, 光电水位传感器, 微型真空自吸式水泵, 常闭电磁水阀及塑料软管组成 (如图2) 。当水样抽取清洗模块为抽取水样模式时, 启动微型真空自吸式水泵7, 待测液从待测液入口14流入, 向透明塑料水箱4注水, 至液面与光电水位传感器接触, 关闭微型真空自吸式水泵7并打开常闭电磁水阀10, 向石英比色皿9与透明塑料水箱5注水, 待光电水位传感器2接触到液面时, 说明石英比色皿内已装满了待测液, 抽取待测水样完成, 可以进行水样COD的检测。在完成水样检测后, 水样抽取清洗模块进入清洗模式。首先, 控制常闭电磁水阀10, 13打开, 将待测液从废液出口16流出, 待废液流尽后, 将常闭电磁水阀13关闭。然后, 微型真空自吸式水泵开始吸蒸馏水, 与抽取待测液相同, 将透明塑料水箱注满蒸馏水。再打开常闭电磁水阀10, 11, 将蒸馏水分别流入透明塑料水箱4, 5。最后打开常闭电磁水阀13, 将清洗废液流出。重复清洗模式三次, 便完成了清洗工作。水样抽取清洗模块各部件参数规格如表1所示。
图2 水样抽取清洗模块
表1 水样抽取清洗模块各部件参数规格
水质COD检测模块基于紫外-可见分光光度法设计, 如图3所示, 本文首先选用波长范围190~400nm的氘灯作为点光源, 通过石英材质平凸透镜 (玻璃材料对340nm以下波段的光有吸收作用, 故用石英材料) , 将点光源聚焦成平行光斑 (光斑直径要小于滤光片的直径) , 然后通过254nm滤光片产生波长为254nm的单波长紫外光 (水样COD与254nm紫外线的吸光度之间在一定范围内有良好的线性关) , 再照射装有待测水样的双通石英比色皿, 水样中的还原性物质吸收后, 最后照射到光电二极管, 由光电二极管将光信号转换为电信号。
图3 光路设计原理
如图4所示, 本文设计的水质COD检测模块主要由滑块A与滑块B组成, 通过调节滑块A与滑块B之间的距离, 将氘灯与平凸透镜调整到所需的焦距L, 使点光源光线转换为平行光线, 调节滑块上的调节杆使光路器件处于同一水平位置上, 确保光路能平行通过光学器件, 检测模块上的遮光盒采用金属铁盒, 这不仅将光电二极管放置于屏蔽磁场环境下降低了电磁场的干扰, 而且降低了周围环境光线对光电二极管检测紫外光的影响。水质COD检测模块各部件参数规格如表2所示。
图4 仪器光路设计
表2 水质COD检测模块各部件参数规格
本文采用了日本滨松S1336-5BQ型号光电二极管, 如图所示5。
图5 光电二极管
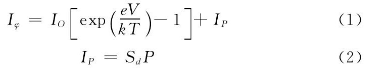
光电二极管的伏安特性表达式为
式中, Iφ光电二极管的总电流, IP光电二极管产生的光电流, Sd代表了电流灵敏度, P代表了入射光功率。
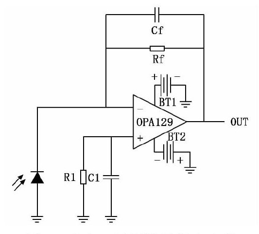
如图6所示, 根据光电二极管特性设计的前置放大电路。通过一个运算放大器作为电流-电压转换器, 将光电二极管电流转换成可用的电压。因为光电二极管产生的电流大小在pA级, 所以选用OPA129超低偏置电流运放芯片。
在电流-电压转换电路中, 由于引入反馈电阻, 造成转换电路存在潜在的振荡的可能, 因此必须引入相位补偿。
图6 光电二极管前置放大电路
对于补偿电容Cf计算公式如下:
式中Rf是反馈电阻阻值为10M, CS是信号源总电容 (包括运算放大器的输入电容与反向输入端的寄生电容) , GBP是运算放大器的增益带宽积 (带宽的单位是Hz) 。经计算Cf的值为1pF即可。
系统软件设计包括SIM900A模块短信收发驱动程序、串口通信程序、定时器程序、A/D采集程序、流程控制程序等。其整体程序流程如图7所示。图中系统初始化初主要包括STM32中I/O端口、系统时钟复位、继电器与氘灯控制引脚定义、定时器、AD采集、串口通信等的初始化。其中氘灯预热时间通过定时器来规定。
本文利用紫外-可见分光光度法间接测定水中COD, 通过朗伯比尔定律定量分析不同浓度COD水样在254nm处的吸光度, 通过吸光度与COD浓度之间建立相应关系式, 来求得COD水样浓度。
朗伯比尔定律是几乎所有光学分析仪器所采用的基本原理。朗伯比尔定律是指一束单色平行光垂直入射通过吸光物质时, 物质对光的吸收与物质的浓度及光通过的路程成正比。物质对光的吸收比例与入射光的强度无关, 在光程上, 每相等厚度物质吸收相同比例值的光。朗伯比尔定律是有一定条件的。首先照射与吸光物质上的光是一严格的平行单色光, 而且物质与光波之间的关系仅为光吸收, 并不存在光化学现象及荧光现象的发生。朗伯比尔定律公式如下:
式中, A为吸光度;I0为入射光强度;It为透射光强度;K吸光系数;c溶液浓度;l溶液厚度。
由朗伯比尔定律可知, 吸光系数K只与入射光波长有关, 而溶液厚度l则为石英比色皿的宽度。故依据朗伯比尔公式, 溶液浓度c与吸光度A呈正比关系。通过测定已知c的溶液A, 就可以得到对应的吸光系数K, 这样A与c之间的线性直线可以确定。因此只要知道不同浓度溶液吸光度A就可以知道该溶液的浓度。而吸光度A的值可以通过入射光强度I0与透射光强度It计算得到。
本文首先对氘灯光强稳定性做了实验分析, 因为氘灯光强稳定需要一定的时间预热, 稳定的光强照射对本仪器测量COD的精确性具有重要作用, 故通过每隔一分钟记录氘灯全波长照射到光电二极管上所产生的电压, 确定本仪器氘灯需要的预热时间。
图7 软件系统框图
如图8所示, 多次实验中氘灯光强随时间变化的趋势图。从图中可以看出, 在三次试验中, 氘灯均在开启后的前10min内光强快速的下降, 而在之后的20 min内氘灯光强下降趋于平缓, 无显著变化, 慢慢的趋向于一个稳定值。这说明氘灯在预热10min后, 氘灯光强趋于稳定, 可以开始检测水质COD工作。
图8 氘灯光强随时间变化的趋势
本文以邻苯二甲酸氢钾标准溶液为水样, 以蒸馏水参比液, 将水样稀释多份分别测定其在254nm处的吸光度, 绘制COD与吸光度的关系曲线, 计算相关系数。
首先进行邻苯二甲酸氢钾标准溶液的配置, 选用优级纯邻苯二甲酸氢钾, 在120度的温度下干燥1h放置在干燥器中冷却后, 用精密天平称取0.4251g于二次蒸馏水中, 定容至1000mL, 此时此标准溶液的COD为500mg/L。吸取0.5、1、1.50、2.25、2.50、3.00、3.75、4.50、5.00mL邻苯二甲酸氢钾标准储备液50mL容量瓶中, 加二次蒸馏水定容到25mL, 则得到的COD分别为10、20、30、45、50、60、75、90、100、mg/L。配置完成后便可开始进行实验, 并记录不同浓度COD在254nm处的吸光度值, 如表3所示。
表3 水样COD与其对UV254nm的吸光度
图9 不同浓度COD吸光度
如图9所示, 横轴为配置的COD浓度, 纵轴为不同浓度COD在254nm处的吸光度值。根据所测的实验数据, 拟合了一条二元一次方程。从图中可以看出, COD浓度越高, 吸光度值越大, 两者之间具有良好的线性关系。通过计算可得到COD浓度与吸光度值线性方程为:
如表4所示, 为线性方程 (5) 通过吸光度直接计算求得的COD浓度值与被测标准液COD浓度的比较。从表中可以看到, 吸光度计算得到的COD浓度值与标准COD浓度值之间的误差小于1mg·L, 满足地下水水质测量精度要求。说明该仪器适用于地下水水质测量。
表4 实验数据与标准数据比较
本文设计的远程地下水质COD在线检测仪, 实现了远程控制自动检测地下水COD含量, 可实时的监测地下水水质状况, 有助于相关部门及时获取地下水水质信息, 预防地下水质污染事故发生。本文已搭建实验平台, 并进行了相关实验测试, 其中对仪器的稳定性及精确性都做了系统的验证, 适用于大多数地下水体COD的检测。不过由于紫外-可见分光光度法应用的局限性, 该仪器目前适用于地下水浊度较低的水体, 对于浊度较高的水体还需考虑增加过滤功能, 而且在清洗模式下, 干净的水还需人工定期添加, 还是存在操作不便。
备案号:苏ICP备09077621号
©2009-2023 无锡点创科技有限公司版权所有
